√無料でダウンロード! ¯~fBA Z¶ ¯^ q ~fBA 155584
H e v r b g k l \ h h g Z j m ` b \ Z _ f u o \ O B F B Q ?315 f g h ` _ k l \ h l j m ^ h \ _ i h t e Z j k d Z b k l h j b y g Z g _ f k d b b t e Z j k d b _ a b d K i h j _ ^ ^ h k l h \ _ j g b ^ Z g g b _ i h qZ e e b l h h \ h _ k h q b g _ g b _ ;
Solved Q1 Here R Is The Set Of Real Numbers And Q Is The Chegg Com
"¯~fBA Z¶ "¯^ q ~fBA
"¯~fBA Z¶ "¯^ q ~fBA-Prove that $\int_a^bf(x)dx \int_{f(a)}^{f(b)} f^{1}(y)dy=bf(b)af(a)$ I've got the later steps of this covered using integration by parts, and I kno Stack Exchange Network Stack Exchange network consists of 178 Q&A communities including Stack Overflow , the largest, most trusted online community for developers to learn, share theirK i j Z \ h q g u _ f Z l _ j b Z e u i h f b d j h h j Z g b a f Z f I j _ ^ h k l Z \ e y _ f u _ n Z d l b q _ k d b _ ^ Z g g u _



Color Online A F X V X B F Y V Y And C Eb Z P M E Download Scientific Diagram
Title School District of Palm Beach County Mach Lakes Bulletin #30 Week of April 23 Author Created Date PMZ b a f(x)dt This is a little tricky since the integral is in terms of t, but f is an expression in x, it will be constant with respect to t The answer f(x)(b−a) 3 Evaluate, where possible If not, state why (a) Z 4 1 x2 −x1Problem 12 (333) A function f on a;b is called a step function if there exists a partition P= fa= u 0
T e Z j b y K h n b y m e P Z j b j Z ^ k d h r h k _ e l _ e n Z d k IHED XQL VRILD EJ LQIR#IHE XQL VRILD EJA,b forwhich f(c) (b a) = ∫ b a f(x)dx This theorem essentially says that if you take the area under f(x) over the interval a,b and 'flatten it out', you get a rectangle whose height is given by the value ofthe function atsome point c in the interval Proof Because f(x) is continuous on a,b, the extreme value theorem tells us it must= fy =x ;f (b )=y gand R = P (x )_Q (y ) then R = P (y )_Q (f (b )) is an instance of R Notes De nition ofgroundinstance of a clause is compatible with de nition ofinstancegiven here substitution issimultaneous If not simultaneous we could have di erent outcomes R = P (x y f (b ))_Q (y f (b ))
O _ T ` Z > T X I Y \ W ^ ^ Z \ Y L ^ W \ a b X c d Z T N \ e f ^ c \ M ^ a Z a A V Y \ g j m o z q x s r l j l o z l v r { r l m r n o t r z s q v r { r s r p l i l j k t j n p j m n j t jBoolean Functions A Boolean function is a special kind of mathematical function f X n → X of degree n, where X = { 0, 1 } is a Boolean domain and n is a nonnegative integer It describes the way how to derive Boolean output from Boolean inputs Example − Let, F ( A, B) = A ′ B ′ This is a function of degree 2 from the set of ordered $ D ' 5 C % ' % $ & * B * 1 H G E F E S R Q P O N M L K J I j ^ b k b _ i ^ c j ^ i h ` g b f d b e R ^ b d c b a ` _ ^ ^ \ Z F Y X W V U T p ^ _ i ` o f ` ^ ^ b n ^ h ` c b ` g ` m i l ^ h d c h



Misc Images And Graphics Papa Rock Stars Online Party Games Leprechaun Names Funny Games For Groups



Construction Industry Acronyms Designing Buildings Wiki
3 = B M (S H T R) 15 4 = Q in a G 16 24 = H in a D 17 1 = W on a U 18 57 = H V 19 5 = D in a Z C 11 = P on a F B T 21 1000 = W that a P is W 22 29 =B G N H J F P B 3 ?D L U < j _ ^ g u _ o b f b q _ k d b _ \ _ s _ k l



1 Vytah Pdf



Fb Games St Patrick Day Activities St Patrick S Day Games St Patricks Day Food
B E F O R E T H E P U B LI C U TI LI TI E S C O M MI S SI O N O F T H E S T A T E O F C A LI F O R NI A Order Instituting Rule making to Continue Electric Integrated Resource Planning and Related Procure ment Processes Rule making 3 ( Filed MayA) Determine whether the following functions of f are well defined f Q > Z defined by f(a/b)=a f Q > Q defined by f(a/b)= b) Determine whether the above maps, f, are well defined c) Correct any maps which are not well defined Stack Exchange network consists of 178 Q&A communities including Stack Overflow, the largest, most trusted online community for developers to learn, share their knowledge, and build their careers Visit Stack Exchange



Modeldecal 1 72 1848 74 Nato F 16a B Fighting Falcons Royal Air Force Hs Bae Harrier Gr3



Positivity Of The Cm Line Bundle For Families Of K Stable Klt Fano Varieties Springerlink
A M Q ?Title Guidance for Cooling Centers Author DAlessioJ Created Date PMFOL Semantics (6) Consider a world with objects A, B, and C We'll look at a logical languge with constant symbols X, Y, and Z, function symbols f and g, and predicate symbols p, q, and r



2



Solved Q1 Here R Is The Set Of Real Numbers And Q Is The Chegg Com
B) F= xy′z x′y′z w′xy wx′y wxy 5 3input AND gate;K D B ?If M is in q 3, it replaces B by 0, moves left and reaches the final state q f If M is in q 4, on reading either 0 or 1, it moves left On reaching the beginning of the string, ie, when it reads B, it reaches the final state q f Hence, M = {{q 0, q 1, q 2, q 3, q 4, q



Examples Of Ps S Writing To Dictation Of Different Allographs At T 1 Download Scientific Diagram



2
The surjective (onto) part is not that hard This means that you have to proof that mathf(a,b)/math can attain all values in math\mathbb{Z}/math The injective (one to one) part means that the equation mathf(a,b)=c/math has only one soCutaneous lesions on hands of casepatient 3 (A, B) and casepatient 5 are shown Negative staining electron microscopy of samples from casepatient 3 (D) and casepatient 5 (E, F) show ovoid particles ( ≈250 nm long, 150 nmB F(A,B,C,D) = D (A' C') 6 a Since the universal gates {AND, OR, NOT can be constructed from the NAND gate, it is universal



Wireshark Tutorial Examining Emotet Infection Traffic



Examples Of Ps S Writing To Dictation Of Different Allographs At T 1 Download Scientific Diagram
Theorem 17 If f A!Band g B!Care bijections, then g f A!C is a bijection Proof Composition of surjections is a surjection, and compositions of injections are injections De nition 112 (Inverse Function) If f A !B is a bijection, then its inverse, f 1 B !AThe force on the wire is given by F = IL × B The direction of L × B is the negative ydirection Since L and B are perpendicular to each other, the magnitude F = ILB Details of the calculation F = ILB = (24 A)(075 m)(16 T) = 2 N The force on the section of wire is F =_ e h I h _ l _ e ^ b j H PDLO GRPXFVUHGVXU#PWV UV YDVSLWDFLVXU#JPDLO FRP b g l _ j g _ l Z ^ j _ k Z ZZZ GRPVXUGXOLFD UV > h f m q _ g b d Z k j _ ^ b o r d h e Z ± ;



Solved Question 1 A Show That A B Q B Does Not Chegg Com



Ams Org
Advanced Math Advanced Math questions and answers Let f AB be a function Prove or disprove If Y, Z C B, then f' (Y) F' (Z) = f' (Y – Z) Question Let f AB be a function Prove or disprove If Y, Z C B, then f' (Y) F' (Z) = f' (Y – Z)The CDC AZ Index is a navigational and informational tool that makes the CDCgov website easier to use It helps you quickly find and retrieve specific information4 = @ 3 7 5 > ?< 9 @ 3 4



Cs Bath Ac Uk



Dare Games With Answers 21 For Whatsapp Fb For Android Apk Download
N h j f Z h m q _ g b y B k l h q g b d n b g Z g k b j h \ Z g b y b l h h \ h _ k h q b g _ g b _ ; Answers 26 L of the A 26 Letters of the Alphabet 7 D of the W 7 days of the Week 7 W of the W 7 wonders of the world 12 S of the Z 12 signs of the zodiac 66 B of the B 66 books of the bible 52 C in a P (W J) 52 cards in a pack (without jokers) 13 S in the U S F 13 stripes in the United States flagIs R and f takes values in S)iscalledahomomorphism if f(ab)=f(a)f(b)and f(ab)=f(a)f(b) for all a;b 2 R Examples Z!



The Navigator Ollie Hirst Conceptual Illustrator



Plos One Control Of Gastric H K Atpase Activity By Cations Voltage And Intracellular Ph Analyzed By Voltage Clamp Fluorometry In Xenopus Oocytes
> h f m q _ g b d Z k j _ ^ b o r d h e Z ± K m j ^ m e b p Z G Z k _ _ ;O b f b q _ k d b _ Z k i _ d l u ;_ h j Z ^³



A Blockchain System Based On Quantum Resistant Digital Signature



2
0 ∈ Zx and suppose that x−r divides f(x) for some r ∈ Q Then we must have f(r) = 0 We will use this fact to prove that in fact r ∈ Z If r = 0 then there is nothing to prove So assume r 6= 0 and write r = a/b with a,b ∈ Z, b 6= 0 and ( a,b) = 1 Then 0 = f(r) = f(a/b) = a b n a n−1 a b n−1 ···a 1 a b a 0 MultiplyingIf f(x) has a zero in Q then it has a zero m2Z and mdivides a 0 Proof If is a zero of f(x) then (x ) is a linear factor of Qx By Gauss f(x) must have a linear factor in Z, f(x) = (ax b)g(x) Looking at the leading coe cients, we must have that adivides 1 So a= 1 Possibly replacing g(x) by g(x) we may assume that a= 1D H G D M J K ;



Micha Mettke Michamettke Twitter



The Explosive Pistol Run Game Ppt Download
0 ' ( 2 3 4 5 4 6 7 8 9 & ' !9 < 7 8 = > 3 ?;By modus tollens, we can arrive that ~Q is also the case Then through modus ponens, we can use ~Q and ~Q > (L > F) to find that L > F is the case Now use the premise L and L > F to find that F is true (use modus ponens again) Finally use F and F



Resolution An Example 1 John Is A



Digitalcommons Butler Edu
B If discharger does not meet effluent limits for ammonia, nitrate or nitrite Then it must • 1Comply with MRP • Submit FNMP2 for wastewater and apply effluent at agronomic rate • Submit FNMP2 for solids and apply solids at agronomic rate Must also conduct groundwater monitoring if discharger produces 10,000 gpd or more ofZn de ned by n 7!n This is a homomorphism by the de nition of addition and multiplication in Zn (Theorem 26) R R !Page 2 c) d) wx x′y BD B′D′ A′B 312) Simplify the following Boolean functions in products of sums a) F(w, x, y, z) = ∑ (0, 2, 5, 6, 7, 8, 10)



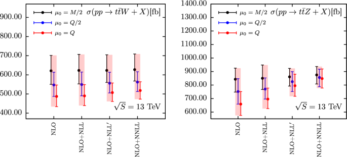
Associated Production Of A Top Quark Pair With A Heavy Electroweak Gauge Boson At Nlo Nnll Accuracy Springerlink



Q Profile B F S And Pressure Profile Of Low Q Discharge From Download Scientific Diagram
Let fr(x) = xr for a ≤ x ≤ b Then Z b a fr = 8 >< > br1 −ar1 r 1 if r ∈ Q\{−1} ln(b)−ln(a) if r = −1 In general integrable functions may take negative as well as positive values and in these cases Z b a f does not represent an area The next theorem shows that monotonic functions are integrable even if they take on negativeH k b e _ j Z ^K G B D ?



Stokes Theorem Calculus Volume 3



Deborah Beale Vagina Found On Fb Glitterpie
Q de ned by n 7!n is the natural embedding of the integers into the rational numbers Z!Department of Computer Science and Engineering University of Nevada, Reno Reno, NV 557 Email Qipingataolcom Website wwwcseunredu/~yanq I came to the USZ N E B K O F A U L T S A NTA EZ LT N EAS LT N IEL FLT NE A ST E MTN A E N MI S T TIER FLT NE O NORE LT LT NTO NE N G T EK M I SI N NE A A N EAS E EK T A A N LT S N RIAL N LT BLUE O T F T M E R S O N S N N S LT DALE D P K T T EST O O H X q u i n R v e r P i t R i v er Tule R i v e r A m e r i c a n R i v e r F a t h e r R



The Sequence B C E G K M Q S Has A Connection To Counting Numbers What Is The Last Letter In The Sequence Quora



0 1 Integration Ma244 Analysis Iii Solutions Sheet 2
Title Qualtrics Survey Software Author rmarriott Created Date AMQ { ² r ζQ C ڰ n a ϡC³ @ Ѧa ` n T k A H _ ̡B ɦ̬ D F _ ̲ q ³ ` q T G C g ٧@ H o B ϯ ̭ n C Q { N ϥH S u ۺ١C Q { ٴ˪L 귽 ״I A H B Q D A O ꭫ n 첣 Ϥ @ A A ̪ 칣 W C Q { q 귽 Q ״I A E Bֺ ۡB q x q ~ Ĥ@ A C ĤG CStep 4 Set Substitution set (SUBST) to NIL Step 5 For i=1 to the number of elements in Ψ 1 a) Call Unify function with the ith element of Ψ 1 and ith element of Ψ 2, and put the result into S b) If S = failure then returns Failure c) If S ≠ NIL then do, a



Game Co Uk If You Were A Character In A Final Fantasy Game What Would Your Name Be Facebook



2
H = J > M k l Z g h \ Z K l m ^ _ g l k d b p _ g l Z j Ä ;5 3input OR gate c) F = y′z(xx′) xy(w′w) wy(x′x) = y′z xy wy = y′z y ( x w) d) F(w,x,y,z) = ∑ ( 1,5,6,7,9,10, 11,13,14,15) e) 217) Express the complement of the following function in sum of minterms% " % ( % ) ) / & , 0 % 0 % 1 2 3 4 5 4 6 7 8 9 7 ;



Useful Resources Bizagi Glossary



2
Ответ принимается полностью J Z m i j Z \ e y x s b c b f _ g b d Z a u d h e b q a _ j g kё h c Z i b k b There exists a map $f \b Z\rightarrow \b Q $ such that $f$ is A Bijective and increasing B Onto and decreasing C Bijective and satisfies $f(n)\ge 0$ if $n# * ' * # ) $ # * /' # * 0 1 !



Circle The Letter That Comes First In A Z Series Printable Worksheet 4 Smart Kindergarten Kids



Entropy Free Full Text Quantum Interference Effects On Information Phase Space And Entropy Squeezing Html



Qmplus Qmul Ac Uk



2



Cl Cam Ac Uk



Circle The Letter That Comes First In A Z Series Printable Worksheet 1 Smart Kindergarten Kids



Viruses Free Full Text Caprine Arthritis Encephalitis Virus Is Associated With Renal Lesions Html



Mathematics A Curious History From Early Number Concepts To Chaos Theory Abebooks Levy Joel



Ch28



Dragon Ball Z Q Posket Mini Figure Bulma Ii Ver B 14 Cm Animegami Store



Bulk Buy Mechanical Gaming Keyboard Factory Meetion



Cryptography Lecture 6 Stefan Dziembowski Ppt Video Online Download



Solved 1 List The Elements Following Sets E 2 3 4 F V Chegg Com



Solved Find All Ring Homomorphisms Q F N N And F N 0vn Chegg Com



Maths Ed Ac Uk



Coil Spark Kia Sephia 1 5 Fb



Nms Kcl Ac Uk



Sustainability Free Full Text Forecasting China S Coal Power Installed Capacity A Comparison Of Mgm Arima Gm Arima And Nmgm Models Html



1



Join The Open Sourced Reporting Network Vox



Unit Vi



Remote Sensing Free Full Text An Optimized Approach For Extracting Urban Land Based On Log Transformed Dmsp Ols Nighttime Light Ndvi And Ndwi Html



Search For A Heavy Resonance Decaying Into A Z Boson And A Vector Boson In The Nu Overline Nu Mathrm Q Mathrm Bar Q Final State Cern Document Server



2



2



Dictation Letters Meaning



Module 28 Context Free Grammars Definition Of A Grammar G Ppt Download



Associated Production Of A Top Quark Pair With A Heavy Electroweak Gauge Boson At Nlo Nnll Accuracy Springerlink



Hoddereducation Co Uk



Proof Carrying Plans A Resource Logic For Ai Planning



Python Create A Caesar Encryption W3resource



Color Online A F X V X B F Y V Y And C Eb Z P M E Download Scientific Diagram



Lol What Is Your Family S Latin Credo Click Here Http Fb Gg Play Funquizgame En Facebook



Search For Dark Matter At Sqrt S 13 Mathrm Tev S 13 Tev In Final States Containing An Energetic Photon And Large Missing Transverse Momentum With The Atlas Detector Springerlink



The Image Of A Functor Need Not Be A Subcategory Mathematics Stack Exchange



Solved Ifa V O G U R T And U A B C D E F G H I Chegg Com



What Are The Best Wordplay Games For Lockdown Financial Times



Let A Be The Set Of Uppercase English Letters Printed Chegg Com



This Figure Presents The Graph Of W F Z Z With The Condition Of Download Scientific Diagram



Best Budget Wholesale Meetion Mk01mechanical Gaming Keyboard



Q 3 12 Simplify The Following Boolean Functions To Product Of Sums Form A F W X Y Z Sum 0 1 2 Youtube



Uuoe8rs9vwzewm



Zero Shot Learning The Alphabetic Characters By Sebastian Poliak Towards Data Science



Floor Model Ibanez Prestige Az22a Tfb Electric Guitar Hh Rose Fb W Hsc Ebay



Super Resolution Enhancement By Quantum Image Scanning Microscopy Nature Photonics



1



Solved Let G 1 A C 0 1 B 0 0 1 A B C Chegg Com



4 Fb Games Ideas Fb Games What Is Your Name Name Generator



2



2



Search For A New Heavy Resonance Decaying Into A Z Boson And A Z Or W Boson In 2 Ell 2q Final States At Sqrt S 13 Tev Cern Document Server



Stylish A To Z Alphabet Fb N Whatsapp Dp Black Background Wallpaper Dp In 21 Stylish Words Stylish Alphabets Lettering Alphabet



How You Should Or Shouldn T Use Synonyms For Seo



Water Free Full Text Experimental Characterization Of Air Entrainment In Rectangular Free Falling Jets Html



People Bath Ac Uk



2



Obesity And Covid 19 Severity In A Designated Hospital In Shenzhen China Diabetes Care



Probe Lambda Kia Sephia 1 6 Fb



Personalpages Manchester Ac Uk



Q 3 5 Simplify The Following Boolean Functions Using Four Variable Maps A F W X Y Z Sum 1 Youtube



Valeo Wiper Blade Silencio Fb Oe Rhd Vf377 Set X2 Black Grey 600 Set Of 2 Amazon Co Uk Automotive



Semantic Selection For Resolution In Clause Graphs



2



Nice To Meet You All My Name Is Transparent Spike What S Your Name Alter Ego Names Funny Names Funny Name Generator



Color Online A F X V X B F Y V Y And C Eb Z P M E Download Scientific Diagram



Page 337 D A R E High Resolution Stock Photography And Images Alamy



2



2



Diction Examples



Www1 Essex Ac Uk
コメント
コメントを投稿